• Home
  • Chemistry
  • Astronomy
  • Energy
  • Nature
  • Biology
  • Physics
  • Electronics
  • New Model Indicates Strong Vertical Winds May Transport Bacteria Above 120 km
    New Model Indicates Strong Vertical Winds May Transport Bacteria Above 120 km

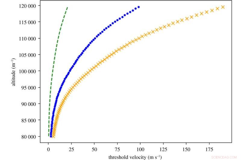
    Threshold velocity equation (2.13) for three different test particles. Standard dust test particle of density 1000 kg m−3, height and radius of a nanometre with a mass of ∼3×10−24kg (green dash). Virus-sized test particle of density 196 kg m−3, thickness 109 nm (H1N1 virus from [65]) (blue dot). Small bacteria or bacteria organelle-sized test particle of density 2000 kg m−3, height 40 nm, radius ∼2 μm∼2 μm and mass 10−15kg (orange cross). Credit: DOI: 10.1098/rspa.2021.0626

    A pair of researchers at The Higgs Centre for Theoretical Physics in the U.K. has found evidence suggesting that strong vertical winds in the upper atmosphere could push bacteria higher than 120 km. In their paper published in Proceedings of the Royal Society A, Arjun Berera and Daniel Brener describe a model that shows how strong winds might behave in the upper reaches of the atmosphere.

    For many years, the scientific community believed that Earth's biosphere extended to approximately 75 km above the surface. More recent research has suggested that it might be higher than that—possibly as high as 120 km. This is because samples of bacteria have been found at these elevations. Bafflingly, astronauts aboard the ISS, which orbits at over 400 km, found bacteria clinging to the outside of the structure. Prior research has also shown that there are strong vertical winds blowing around in both the upper mesosphere and thermosphere. In this new effort, the researchers wondered if such strong winds, which have been measured at up to 100 m s−1, could be blowing bacteria higher than previously thought. To find out, they created a model to simulate conditions in the upper atmosphere.

    To make their model, the researchers added data from known sources such as measurements of wind speeds and data describing the size and weight of bacteria.

    The simulations showed that bacteria could easily be carried up to elevations as high as 120 km—but because of limited data, that was the extent of the findings. But the researchers also noted that at such altitudes, the momentum of the bacteria carried by the wind could propel them much higher. They theorize that bacteria from the surface could be carried high enough to be impacted by space dust, which, they note, moves fast enough to carry it into space—and perhaps, to other planets. They note if their assumptions are correct, the same sort of activity could have occurred on Mars—bacteria there could have been blown here to Earth.

    Science Discoveries © www.scienceaq.com