• Home
  • Chemistry
  • Astronomy
  • Energy
  • Nature
  • Biology
  • Physics
  • Electronics
  • First In‑Situ Temperature Measurement of Lunar Farside Regolith Thermophysical Properties
    First In‑Situ Temperature Measurement of Lunar Farside Regolith Thermophysical Properties

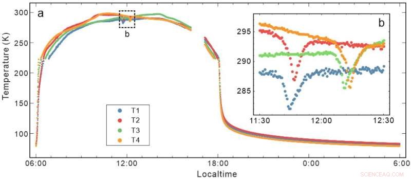
    (a) The colored scatter plots represent the regolith temperature measurement by the CE-4 temperature probes. (b) The temperature measured near the lunar noon. Credit: Science China Press

    Lunar regolith is a layer of loosely-packed rocky grains deposited on the lunar surface, whose physical and chemical properties are important for deciphering the geologic history and formulating lunar spacecraft design. Probing the thermal conductivity of the lunar regolith has drawn a lot of attention since the Apollo era. Early measurements focused on the Apollo regolith samples, but the experimental data were available only at a few landing sites at the nearside.

    The CE-4 spacecraft landed at 45.4446°S, 177.5991°E, on the floor of Von Kármán crater, on January 3rd, 2019. After landing, the Yutu-2 rover was released via the deployed two rails. Four temperature probes beneath the terminals of the rails began to measure the temperature of the local regolith every 900 seconds. "It was awesome to have contact temperature measurements of the far side regolith for the first time," says Dr. Jun Huang from China University of Geosciences in Wuhan, one of the leaders of this study.

    The team found the particle size of the lunar regolith at the CE-4 landing site to be ~15 μm on average over depth, which indicates an immature regolith below the surface. In addition, the conductive component of thermal conductivity is measured as ~1.53×10-3 W m-1 K-1 on the surface and ~8.48×10-3 W m-1 K-1 at 1-m depth. The average bulk density is ~471 kg m-3 on the surface and ~824 kg m-3 in the upper 30 cm of lunar regolith.

    "These results will provide important additional 'ground truth' for the future analysis and interpretation of global temperature observations. It will also shed lights on the design for future in-situ temperature and heat flux probes" Huang says.

    First In‑Situ Temperature Measurement of Lunar Farside Regolith Thermophysical Properties

    (a) The minimum, average and maximum temperature profile from the surface to the depth of 1 m with a surface pressure of 80 Pa. (b) The bulk density profile from the surface to the depth of 1 m corresponding to the minimum, average and maximum temperature in (a) without surface pressure. (c) The conductive component of thermal conductivity profile from the surface to the depth of 1 m corresponding to the minimum, average and maximum temperature in (a) without surface pressure. Credit: Science China Press

    Mr. Xiao Xiao, a Ph.D. candidate at China University of Geosciences, and Dr. Shuoran Yu from Macau University of Science and Technology, together with Dr. Jun Huang, made the plan to analyze the temperature measurements. The study lasted over 2 years from 2020, interrupted several times by the COVID pandemic. "It was a difficult time to build the thermal model, but I enjoyed it," says Xiao. It is very time-consuming to run the thermal model even with the high-performance cluster in Planetary Science Institute of China University of Geosciences, Wuhan.

    Xiao and Yu processed the data and carried out the thermophysical modeling. The research was published in National Science Review. + Explore further

    Study reveals lunar regolith evolution process on Chang'e-4 landing area




    Science Discoveries © www.scienceaq.com