• Home
  • Chemistry
  • Astronomy
  • Energy
  • Nature
  • Biology
  • Physics
  • Electronics
  • Astronomers Spot Inflated Hot Jupiter Exoplanet with TESS
    Astronomers Spot Inflated Hot Jupiter Exoplanet with TESS

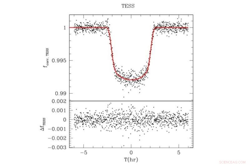
    Top: TESS light curve of TIC 257060897 folded with the best fit ephemerides. The best fit transit model is denoted by the red curve. Bottom: residuals of the model fit. Credit: Montalto et al., 2021.

    Using NASA's Transiting Exoplanet Survey Satellite (TESS), astronomers have discovered a new inflated, low-density "hot Jupiter" exoplanet. The newly found alien world, designated TIC 257060897b, is about 50 percent larger than Jupiter, but some 30 percent less massive than the solar system's biggest planet. The finding is detailed in a paper published October 1 on arXiv.org.

    TESS is conducting a survey of about 200,000 of the brightest stars near the sun with the aim of searching for transiting exoplanets. So far, it has identified over 4,500 candidate exoplanets (TESS Objects of Interest, or TOI), of which 156 have been confirmed so far.

    Now, a group of astronomers led by Marco Montalto of the University of Padua in Italy, confirmed another TOI monitored by TESS. While observing a subgiant star designated TOI-4138 or TIC 257060897, the researchers identified a transit signal in the light curve of this star. The planetary nature of this signal was confirmed by follow-up photometric observations.

    "We report the discovery of a new transiting exoplanet orbiting the star TIC 257060897 and detected using TESS full frame images," the team wrote in the paper.

    TIC 257060897b has a radius of about 1.49 Jupiter radii and a mass of approximately 0.67 Jupiter masses, which gives a density at a level of 0.25 g/cm3. The planet has an equilibrium temperature of 1,762 K and orbits its host every 3.66 days, at a distance of some 0.05 AU from it.

    The derived parameters of TIC 257060897b indicate that it is a "hot Jupiter" exoplanet. The so-called hot Jupiters are similar in characteristics to the solar system's biggest planet, with orbital periods of less than 10 days. Such exoplanets have high surface temperatures, as they orbit their parent stars very closely.

    The parent star TIC 257060897 is an intermediate age (about 3.5 billion years old), metal-rich, subgiant star. It has a mass of some 1.32 solar masses and a radius of about 1.82 solar radii. The object is located about 1,623 light years away from the Earth and its effective temperature is estimated to be 6,128 K.

    The authors of the paper emphasized that TIC 257060897b is an inflated exoplanet and also has one of the smallest densities known so far. They explained that some giant planets expand in size when their parent stars are at the end of their lives. These so-called inflated planets have been known to astronomers for almost two decades, but it is still unclear what causes the inflation processes. In general, the possible explanations could be assigned to two theories—scientists believe that the inflation is caused by deposition of energy from the host star, or due to inhibited cooling of the planet.

    "We suggest that the inflated radius of this object may be related to the fast increase of luminosity of its host star as it evolves outside the main sequence and that systems like TIC 257060897b could be precursors of inflated radius short period planets found around low luminosity red giant branch stars, as recently debated in the literature," the astronomers concluded.

    © 2021 Science X Network




    Science Discoveries © www.scienceaq.com