• Home
  • Chemistry
  • Astronomy
  • Energy
  • Nature
  • Biology
  • Physics
  • Electronics
  • Astronomers Unveil SRGA J204318.2+443815: A New Long-Period X-ray Pulsar in a Distant Binary System
    Astronomers Unveil SRGA J204318.2+443815: A New Long-Period X-ray Pulsar in a Distant Binary System

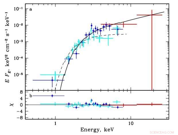
    Spectra of SRGA J204318.2+443815 measured with SRG instruments. Credit: Lutovinov et al., 2021.

    Using ART-XC and eROSITA telescopes onboard the Spectrum Roentgen Gamma (SRG) mission, an international team of astronomers has detected a new pulsar. The newly found object, designated SRGA J204318.2+443815, turns out to be a long-period, faint X-ray pulsar in a distant binary system. The finding is reported in a paper published July 12 on arXiv.org.

    X-ray pulsars (also known as accretion-powered pulsars) are sources displaying strict periodic variations in X-ray intensity, consisting of a magnetized neutron star in orbit with a normal stellar companion. In these binary systems, the X-ray emission is powered by the release of gravitational potential energy as material is accreted from a massive companion. X-ray pulsars are among the most luminous objects in the X-ray sky.

    Now, a team of astronomers led by Alexander Lutovinov of the Space Research Institute (IKI) of Russian Academy of Sciences, reports the finding of another X-ray pulsar. Using the ART-XC telescope, they discovered a relatively bright X-ray source in November 2020, about 26,000 light years away from the Earth. Follow-up observations of this source, which received designation SRGA J204318.2+443815 (or SRGe J204319.0+443820) with space telescopes like XMM-Newton, NICER and NuSTAR allowed the team to confirm the pulsar nature of this source and reveal its properties.

    "In this paper, we reported a discovery of a new X-ray pulsar, SRGA J204318.2+443815/SRGe J204319.0+443820. The source was found by both instruments, ART-XC and eROSITA, on board SRG during second and third all-sky surveys," the astronomers wrote in the study.

    The observations revealed pulsations of SRGA J204318.2+443815 with a period of about 742 seconds. The source has a bolometric luminosity at a level of 400 decillion erg/s, hard X-ray spectrum with the exponential cutoff; a number of emission lines were detected in the optical and infrared spectra of its companion star.

    These findings suggest that SRGA J204318.2+443815 is a new persistent low-luminosity X-ray pulsar in a distant binary system. The pulsar's companion is a Be-star most likely of the B0-B2e spectral type. The astronomers assume that SRGA J204318.2+443815 may be a new member of the subclass of persistent low-luminosity Be X-ray binary (BeXRB) systems presumably accreting from the "cold" accretion disk.

    Summing up the results, the researchers noted that the discovery of SRGA J204318.2+443815 demonstrates how useful the SRG spacecraft is when it comes to the search for faint X-ray sources of this type.

    "Taking into account that the sensitivity of the SRG telescopes are exceeding any previous and currently working surveying instruments, the SRG observatory allow us to unveil the hidden population of faint persistent objects including the population of slowly rotating X-ray pulsars in BeXRB. The potential of SRG to reach this goal is demonstrated by this paper as well as by the discovery of several other new XRPs in the Magellanic Clouds and our Galaxy (see e.g., Haberl et al. 2020; Maitra et al. 2020; Doroshenko et al. 2021)," the authors of the paper concluded.

    © 2021 Science X Network




    Science Discoveries © www.scienceaq.com