• Home
  • Chemistry
  • Astronomy
  • Energy
  • Nature
  • Biology
  • Physics
  • Electronics
  • New Energetic Pulsar Unveiled in the Small Magellanic Cloud
    New Energetic Pulsar Unveiled in the Small Magellanic Cloud

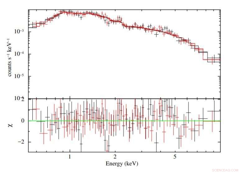
    XMM-Newton EPIC MOS spectra of PSR J0058—7218. Credit: Maitra et al., 2021.

    Using ESA's XMM-Newton spacecraft, an international team of astronomers has detected a new energetic rotation-powered pulsar in the Small Magellanic Cloud (SMC). The newly found pulsar, designated PSR J0058–7218, appears to be the most energetic pulsar so far discovered in the SMC. The finding is detailed in a paper published May 17 on arXiv.org.

    Pulsars are highly magnetized, rotating neutron stars emitting a beam of electromagnetic radiation. They are usually detected in the form of short bursts of radio emission, however some of them are also observed using optical, X-ray and gamma-ray telescopes.

    At a distance of about 195,000 light years away, SMC is a gas-rich irregular galaxy orbiting the Milky Way. To date, dozens of pulsars have been detected in SMC, but only a few of them are young energetic rotation-powered ones.

    Ideal places to search for this type of pulsars are supernova remnant (SNR) – pulsar wind nebula (PWN) composites. One of them is IKT 16—a large X-ray and radio-faint SNR, in which a central source of hard X-ray emission was identified using XMM-Newton.

    Now, a team of astronomers led by Chandreyee Maitra of the Max Planck Institute for Extraterrestrial Physics in Garching, Germany, has investigated this source with XMM-Newton and found that it exhibits pulsations, what confirms its pulsar nature.

    "IKT16 was observed with the European Photon Imaging Camera (EPIC) on board the XMM-Newton satellite starting on 2020 March 15 for an orbit (Obsid 0841450101). We report here the discovery of pulsations from the central source in IKT 16 (PSR J0058−7218 from now), confirming its nature as an energetic rotation-powered pulsar," the researchers explained.

    According to the paper, PSR J0058–7218 has a spin period of about 21.77 milliseconds, spin period derivative at a level of 0.029 picoseconds/second, and characteristic age of 12,000 years. Therefore, these parameters suggest that it is a young rotation-powered pulsar.

    The spin-down luminosity of PSR J0058–7218 was estimated to be approximately 110 undecillion erg/s. The astronomers noted that this value indicates that this object is a Crab-like pulsar and the most energetic pulsar so far detected in the SMC.

    The surface dipole magnetic field of PSR J0058–7218 was measured to be at a level of 800 billion G. The study also found that the pulsar has an X-ray luminosity of approximately 120 decillion erg/s.

    In concluding remarks, the researchers noted that PSR J0058–7218 is a young, energetic and ultra-fast pulsar, emphasizing the importance of the detection of this object for pulsar studies.

    "The discovery of a young, energetic and ultra-fast pulsar like PSR J0058–7218 provides a unique opportunity to probe the braking mechanisms and birth-spin models of rotation-powered pulsars. Future monitoring of PSR J0058–7218 is crucial to constrain the second derivative of the period in order to measure the braking index of the pulsar and allow deeper searches in the radio and gamma-rays, and look for putative glitches that are fairly common in young rotation-powered pulsars on timescales of a few years. A continuous monitoring of the spin evolution will also be very important because of its potential as a source of detectable gravitational waves," the authors of the paper concluded.

    © 2021 Science X Network




    Science Discoveries © www.scienceaq.com