• Home
  • Chemistry
  • Astronomy
  • Energy
  • Nature
  • Biology
  • Physics
  • Electronics
  • Identifying Extraterrestrial Civilizations by Detecting Atmospheric Pollution
    Identifying Extraterrestrial Civilizations by Detecting Atmospheric Pollution

    Credit: NASA Ames/JPL-Caltech

    Upcoming telescopes will give us more power to search for biosignatures on all the exoplanets we've found. Much of the biosignature conversation is centered on biogenic chemistry, such as atmospheric gases produced by simple, single-celled creatures. But what if we want to search for technological civilizations that might be out there? Could we find them by searching for their air pollution?

    If a distant civilization was giving our planet a cursory glance in its own survey of alien worlds and technosignatures, they couldn't help but notice our air pollution.

    Could we turn the tables on them?

    Air pollution as a technosignature isn't a brand-new idea. A new paper looks at one specific chemical pollutant that is both biogenic and anthropogenic on Earth: NO2, or nitrogen dioxide. The authors say that nitrogen dioxide could be detected as a technosignature on an Earth-like planet orbiting a sun-like star with a 15-meter (49-foot) telescope similar to NASA's proposed Large UV/Optical/IR Surveyor (LUVOIR). However, it would take several hundred hours of observation time.

    The paper presenting these findings is titled "Nitrogen Dioxide Pollution as a Signature of Extraterrestrial Technology." It's available on the pre-press site arxiv.org and hasn't been peer reviewed yet. The lead author is Dr. Ravi Kopparapu, a research scientist at NASA's Goddard Space Flight Center.

    Thanks largely to the Kepler mission and the TESS mission, we live in an age of exoplanet discovery. We now know of several thousand exoplanets, and the number keeps growing. Astronomers have characterized the mass, density, potential habitability, and other properties of many of them.

    The next step is to study the atmospheres of some of the thousands of confirmed exoplanets. Exoplanet scientists are eagerly awaiting the upcoming launch of the James Webb Space Telescope (JWST.) The JWST has the ability to examine exoplanet atmospheres in great detail.

    Other upcoming facilities like the Atmospheric Remote-sensing Infrared Exoplanet Large-survey (ARIEL) space telescope and large ground-based observatories such as the European Extremely Large Telescope (E-ELT), the Thirty Meter Telescope (TMT) and the Giant Magellan Telescope (GMT) will also be able to study exoplanets in greater detail.

    Researchers have been preparing in advance for all of that observing power to understand what to look for and what they'll see when examining atmospheres. This new study focuses on NO2 and how it can be detected in those atmospheres. They zeroed in on NO2 because it's produced anthropogenically through combustion and is one of the main technological pollutants. Not all of it is produced by combustion, but some of it is.

    "Some NO2 on Earth is produced as a byproduct of combustion, which suggests the possibility of scenarios in which larger-scale production of NO2

    Identifying Extraterrestrial Civilizations by Detecting Atmospheric Pollution

    This figure from the study shows NO2 absorption cross section as a function of wavelength. The broad absorption between 0.25-0.6 µm is the dominant feature, and few other molecules absorb here. Credit: Kopparapu et al, 2021.

    is sustained by more advanced technology on another planet," they write. "Detecting high levels of NO2 at levels above that of non-technological emissions found on Earth could be a sign that the planet may host active industrial processes."

    To determine how to detect it, researchers used a simple photochemical model and generated synthetic atmospheric spectra. The atmospheric spectra mimicked what astronomers might see on a distant exoplanet as the planet transits its sun.

    One of the concepts in the study is geometric albedo. It's the ratio of a celestial body's brightness at a zero phase angle to an idealized perfectly reflecting disk. At a zero phase angle, an observer would be looking straight at the source of light. But on an exoplanet with an atmosphere, the light is diffused, and we would never be seeing it at a zero phase angle. The geometric albedo helps astronomers work around that problem.

    Even though NO2 is detectable, it will take a long time to see it. The 15-meter LUVOIR telescope would require about 400 hours to detect NO2 at an Earth-like planet around a sun-like star 10 parsecs away. Though that's a lot of observing time to devote to one target, it's not entirely unprecedented. For comparison, the Hubble Ultra Deep Field took about 11.5 days, or 276 hours of observing time.

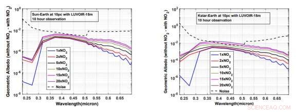
    Identifying Extraterrestrial Civilizations by Detecting Atmospheric Pollution

    This figure from the panel shows Geometric Albedo difference with and without NO2 for an Earth-like planet around a sun-like star (panel a) and around a K6V stellar spectral type (panel b) located at 10 pc with varying NO2 concentrations, assuming LUVOIR-A (15 m) observing time of 10 hours. The dashed line represents noise, so the highest concentrations of NO2 barely exceed the noise. Credit: Kopparapu et al., 2021

    The study has one quirk to it. The team is working with atmospheric NO2 levels from about 40 years ago when the concentration in Earth's atmosphere was higher. So if results like these were ever actually found, and if they were ever confirmed to be from a technological source, it would be a civilization that was at an Earth-level from 40 years ago.

    "Historically, the United States NO2 concentrations have varied (gone down) by a factor of three over a period of 40 years, from 1980–2019," the authors write in the paper. "Therefore, we can expand the possibilities of detecting a technological civilization at the stage where Earth civilization was 40 years ago. It is possible to imagine a more highly industrialized society that could possibly operate in the regime of five times Earth NO2 level, making it possible to detect it with LUVOIR-15m with even less observation time than for present-Earth conditions."

    But that's getting a little ahead of things.

    Identifying Extraterrestrial Civilizations by Detecting Atmospheric Pollution

    For a sun-Earth type system 10 parsecs away, it would take about 400 hours of observing with the LUVOIR telescope to detect Earth-level NO2 levels above the signal-to-noise ratio (SNR). Credit: Kopparapu et al., 2021

    Simply finding NO2 in an exoplanet's atmosphere doesn't tell astronomers how it was produced. "It is important to note that placing constraints on a planet's NO2 abundance from its spectrum would not definitively answer whether the NO2 is biologically or abiotically produced. One would need to estimate the production rates required to produce the observed NO2 abundance and evaluate whether abiotic sources alone can sustain the inferred production rate."

    It will take a lot more work, both observing and modeling, to determine if a NO2 signal had a technological source. But there's no doubt that an unambiguous detection of technological NO2 would be a huge event.

    "The serendipitous detection of NO2 or any other potential artificial atmospheric spectral signature (CFCs, for example) may become a watershed event in the search for life (biological or technological)," the researchers conclude. "Is it likely that biosignatures are more prevalent than technosignatures? We will not know for certain until we search."


    Science Discoveries © www.scienceaq.com