• Home
  • Chemistry
  • Astronomy
  • Energy
  • Nature
  • Biology
  • Physics
  • Electronics
  • Citizen Scientists Uncover Low‑Mass Companion Star Orbiting APMPM J2036-4936
    Citizen Scientists Uncover Low‑Mass Companion Star Orbiting APMPM J2036-4936

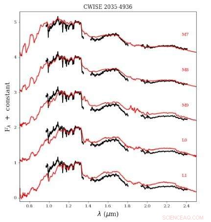
    Spectrum of CWISE J2035-4936 (black) compared to the spectral standards VB 8 (M7), VB 10 (M8), LHS 2924 (M9), 2MASS 0345+2540 (L0), and 2MASS 2130-0845 (L1). Credit: Rothermich et al., 2021.

    A low-mass companion to a distant star known as APMPM J2036-4936 has been recently detected as part of the citizen science project Backyard Worlds: Planet 9. The finding of the star, which received designation CWISE J203546.35-493611.0, was detailed in a paper published February 4 on the arXiv pre-print repository.

    Located some 266 light years away, APMPM J2036-4936 was detected in 2005 and classified as a star of spectral type M4.5. However, subsequent observations of this object suggested that it has a spectral type M7 and an absolute G magnitude of 13.52 mag. Trying to explain this discrepancy, astronomers assume that this source may have highly unusual properties or that the wrong target was observed 16 years ago, possibly due to its large proper motion.

    APMPM J2036-4936 was also imaged by NASA's Wide-field Infrared Survey Explorer (WISE). By visually inspecting these images, Paul Beaulieu and Austin Rothermich of the Backyard Worlds: Planet 9 project have detected the presence of a low-mass companion to this star. In general, Backyard Worlds: Planet 9 is a citizen science project where volunteers examine WISE images to identify high proper motion objects.

    "Here we report the discovery of CWISE J203546.35-493611.0 (hereafter CWISE J2035-4936) an object at the M/L spectral type boundary co-moving with a known M4.5 star found through the Backyard Worlds project," the scientists wrote in the paper.

    Proper motion for CWISE J2035-4936 was measured to be −126 and −478 in right ascension and declination, respectively. Based on the available data, the spectral type of this star was estimated to be between M7 and L5.

    Given that the spectrum of CWISE J2035-4936 does not fully match any of the spectral standards, it is difficult to draw final conclusions regarding its properties. The authors of the paper assume that the newfound object is most likely a low-mass star of spectral type M8 with low metallicity. They estimate that the companion star is separated from APMPM J2036-4936 by approximately 2,790 AU.

    "When looking at the J band portion of the spectrum however, the closest fit is with that of VB 8 (M8), although there are still a few minor features which do not fully match. The K band shows some slight irregularities when compared with VB 8, such as slightly lower flux near the blue end. The H band of CWISE J2035-4936 however is quite peculiar, appearing to have more of a triangular shape than the H band of a standard M8, a feature that has been seen in metal low, sub-dwarf stars," the researchers explained.

    They added that both CWISE J2035-4936 and APMPM J2036-4936 appear to be underluminous. Further studies of this peculiar stellar system are required to shed more light on the true nature of its two components.

    © 2021 Science X Network




    Science Discoveries © www.scienceaq.com