• Home
  • Chemistry
  • Astronomy
  • Energy
  • Nature
  • Biology
  • Physics
  • Electronics
  • New Study Confirms CXOGBS J175553.2-281633 as a Cataclysmic Variable Binary
    New Study Confirms CXOGBS J175553.2-281633 as a Cataclysmic Variable Binary

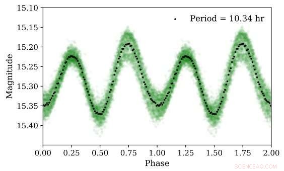
    Optical photometry of CX137 phased at the best orbital period of P = 10.34488 h. Credit: Gomez et al., 2020.

    An international team of astronomers has performed photometric observations of a binary system known as CXOGBS J175553.2-281633. Results of the study indicate that the object is a cataclysmic variable system. The finding is reported in a paper published September 18 on arXiv.org.

    Cataclysmic variables are binary star systems consisting of a white dwarf primary that is accreting matter from a normal star companion. They irregularly increase in brightness by a large factor, then drop back down to a quiescent state. These binaries have been found in many environments, such as the center of the Milky Way galaxy, the solar neighborhood, and within open and globular clusters.

    CXOGBS J175553.2-281633, or CX137, was initially detected as an X-ray source by the Galactic Bulge Survey (GBS). In 2012, the optical counterpart to CX137 identified and classified as an eclipsing binary with a spotted donor star and an orbital period of approximately 10.345 hours.

    Now, a group of astronomers led by Sebastian Gomez of the Harvard-Smithsonian Center for Astrophysics (CfA) in Cambridge, Massachusetts, present the results of a long-term monitoring campaign of CX137 as part of the Optical Gravitational Lensing Experiment (OGLE) project. The observations, conducted with the 1.3-meter Warsaw telescope at Las Campanas Observatory, provide more insights into the nature of this source.

    "We have modeled seven years of optical photometry of the binary star CX137," the researchers wrote in the paper.

    The observational campaign detected long-term variations of CX137 from year to year. According to the authors of the study, such behavior can be explained with either an accretion disk of changing shape or luminosity, or a spotted secondary star. The orbital period of the system was estimated to be 10.34488 hours, which is consistent with previous observations.

    The results suggest that CX137 is a CV with a secondary star of spectral type K7. The mass of the primary star was calculated to be some 0.83 solar masses, while the companion's mass was estimated to be about 0.65 solar masses. The size of the secondary star is comparable to that of our sun and its effective temperature is around 4,000 K.

    According to the paper, CX137 is located about 2,865 light years away from the Earth and its systemic velocity is 54 km/s. The astronomers added that space velocity of the system, with respect to the sun, is about 62 km/s. This is statistically consistent with other known CVs.

    The authors of the study also attempted to estimate the accretion rate for CX137. They found that it may reach the value of up to 100 quadrillion g/s, taking into the account the system's relatively high orbital inclination (about 63 degrees).

    "The accretion rate in non-magnetic CVs is likely underestimated by a factor of ∼ 2 for systems with inclinations of > 60 deg. This would bring the accretion rate to M ∼ 1017 g s−1, closer to the M expected for a Roche Lobe filling subgiant with an orbital period of 10 hours," the researchers explained.

    © 2020 Science X Network




    Science Discoveries © www.scienceaq.com