• Home
  • Chemistry
  • Astronomy
  • Energy
  • Nature
  • Biology
  • Physics
  • Electronics
  • Italian Astronomers Unveil Key Findings on X‑Ray Binary IGR J18214‑1318
    Italian Astronomers Unveil Key Findings on X‑Ray Binary IGR J18214‑1318

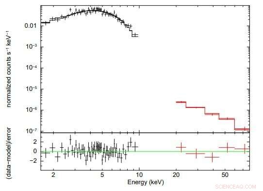
    Swift's XRT and BAT broadband spectrum of IGR J18214-1318. Top panel: data and best-fit model tbabs*pcfabs*(nthComp). Bottom panel: residuals in units of standard deviations. Credit: Cusumano et al., 2020.

    Using various space observatories, Italian astronomers have investigated an X-ray binary source known as IGR J18214-1318. Results of the study, detailed in a paper published September 14 on the arXiv pre-print server, provide important information about the properties of this system, shedding more light into its nature.

    X-ray binaries consist of a normal star or a white dwarf transferring mass onto a compact neutron star or a black hole. Based on the mass of the companion star, astronomers divide them into low-mass X-ray binaries (LMXBs) and high-mass X-ray binaries (HMXBs).

    IGR J18214-1318 is an HMXB detected with the INTErnational Gamma-Ray Astrophysics Laboratory (INTEGRAL) satellite in 2006. The object is associated to USNO-B1.0 0766-0475700—most likely a star of spectral type O9I.

    In order to get more insights into the nature of IGR J18214-1318, a team of astronomers led by Giancarlo Cusumano of the Institute of Space Astrophysics and Cosmic Physics in Palermo, Italy, has analyzed a dataset covering 13 years of observations of this source with NASA's Swift spacecraft. The study was complemented by data from ESA's XMM-Newton and NASA's Nuclear Spectroscopic Telescope Array (NuSTAR) spacecraft.

    "In this work we present a temporal and spectral analysis of IGR J18214-1318, a source discovered by INTEGRAL on the galactic plane. (...) We exploited archival data based on Swift, XMM-Newton, and NuSTAR data available on IGR J18214-1318 for an updated study of the spectral and timing properties of this source," the astronomers wrote in the paper.

    The results indicate that IGR J18214-1318 has an orbital period of approximately 5.42 days. It was calculated that the mass of the system's neutron star is around 1.4 solar masses, while the companion star, with a radius of about 22 solar radii, turned out to be some 30 times more massive than our sun.

    Based on the results, the researchers estimated that the two components of IGR J18214-1318 are separated by about 41 solar radii, which is a relatively close distance, taking into account the size of the companion star. The astronomers concluded that such tight orbital separation and spectral type of the companion (O9) suggest that IGR J18214-1318 is a wind-accreting source with eccentricity lower than 0.17.

    "Such a tight orbital separation is common among wind-fed neutron stars accreting from an O type companion star," the authors of the paper noted.

    Furthermore, results from Swift show that the 1–10 keV X-ray spectrum of IGR J18214-1318 is variable. This is because of the changing of local conditions on the neutral absorption and of the accretion rate. When it comes to the hard X-ray spectrum (above 15 keV), it appears to be generally dominated by the exponential tail of the Comptonized component, and depends only on the electrons temperature and the instantaneous mass accretion rate.

    © 2020 Science X Network




    Science Discoveries © www.scienceaq.com