• Home
  • Chemistry
  • Astronomy
  • Energy
  • Nature
  • Biology
  • Physics
  • Electronics
  • Astronomers Detect X‑ray Reactivation in Magnetar SGR 1935+2154
    Astronomers Detect X‑ray Reactivation in Magnetar SGR 1935+2154

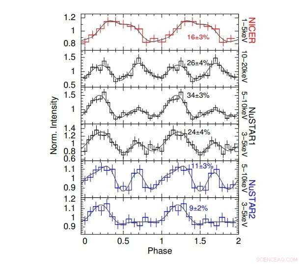
    Energy-resolved background-subtracted pulse profiles of SGR 1935 extracted from NICER and NuSTAR data. Credit: Borghese et al., 2020.

    Using NASA's Swift and NuSTAR spacecraft, together with NICER instrument onboard the International Space Station, astronomers from Spain and Italy have performed an X-ray monitoring of a magnetar known as SGR 1935+2154. The new observations found that the source has once again became active, this time in the X-ray band. Results of the study were presented May 30 in a prepublished paper on arXiv.org.

    Magnetars are neutron stars with extremely strong magnetic fields, more than quadrillion times stronger than magnetic field of Earth. Decay of magnetic fields in magnetars powers the emission of high-energy electromagnetic radiation, for instance, in the form of X-rays or radio waves.

    Discovered in 2014 by NASA's Neil Gehrels Swift Observatory, SGR 1935+2154 is a magnetar showcasing frequent bursting activity, with several intense outbursts observed to date. The object has spin period of about 3.25 seconds and spin-down rate at a level of approximately 0.0143 nanoseconds/second. These values indicate that the magnetar has a dipole magnetic field with a strength of about 440 trillion G at the pole and characteristic age of some 3,600 years.

    A team of astronomers led by Alice Borghese of the Institute for Space Studies of Catalonia in Barcelona, Spain, commenced X-ray observations of SGR 1935+2154 in late April 2020. Shortly after the monitoring campaign began, the magnetar entered a new burst-active phase.

    "A few years after its discovery as a magnetar, SGR 1935+2154 started a new burst-active phase on April 27, 2020, accompanied by a large enhancement of its X-ray persistent emission," the astronomers wrote in the paper.

    Since its reactivation, SGR 1935+2154 produced numerous X-ray bursts, and also two bright radio millisecond bursts similar to the so-called fast radio bursts (FRBs). The new observations detected X-ray pulsations exhibiting a variable shape switching. It was found that the pulsed fraction decreased from approximately 34 to 11 percent (in the 5–10 keV energy range) over a period of about 10 days.

    Three days prior the reactivation, SGR 1935+2154 had X-ray luminosity at a level of 4.0 decillion erg/s, and shortly after it entered an active phase, its X-ray luminosity reached a peak value of approximately 250 decillion erg/s. Therefore, it was the most powerful outburst detected from this magnetar to date.

    In general, the astronomers noted that the bursting activity of SGR 1935+2154 after its reactivation is similar to that previously observed in this and other magnetars. However, the detection of radio bursts from this source proved that magnetar bursts might have bright radio counterparts.

    "This result is particularly interesting in the context of the physical interpretation of FRBs, bright ms-duration transients coming from distant galaxies. Their brightness temperatures imply a coherent radio emission, inevitably connecting them to pulsars," the authors of the paper concluded.

    © 2020 Science X Network




    Science Discoveries © www.scienceaq.com