• Home
  • Chemistry
  • Astronomy
  • Energy
  • Nature
  • Biology
  • Physics
  • Electronics
  • ALMA Detects Quasi‑Periodic Millimeter Emissions from Sagittarius A* – New Insights into Milky Way’s Black Hole
    ALMA Detects Quasi‑Periodic Millimeter Emissions from Sagittarius A* – New Insights into Milky Way’s Black Hole

    Hot spots circling around the black hole could produce the quasi-periodic millimeter emission detected with ALMA. Credit: Keio University

    Astronomers using the Atacama Large Millimeter/submillimeter Array (ALMA) found quasi-periodic flickers in millimeter-waves from the center of the Milky Way, Sagittarius (Sgr) A*. The team interpreted these blinks to be due to the rotation of radio spots circling the supermassive black hole with an orbit radius smaller than that of Mercury. This is an interesting clue to investigate space-time with extreme gravity.

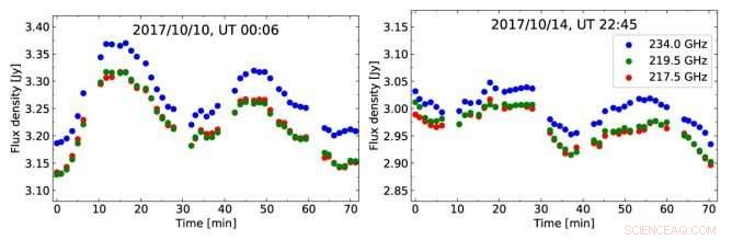
    "It has been known that Sgr A* sometimes flares up in millimeter wavelength," tells Yuhei Iwata, the lead author of the paper published in the Astrophysical Journal Letters and a graduate student at Keio University, Japan. "This time, using ALMA, we obtained high-quality data of radio-wave intensity variation of Sgr A* for 10 days, 70 minutes per day. Then we found two trends: quasi-periodic variations with a typical time scale of 30 minutes and hour-long slow variations."

    Astronomers presume that a supermassive black hole with a mass of 4 million suns is located at the center of Sgr A*. Flares of Sgr A* have been observed not only in millimeter wavelength, but also in infrared light and X-ray. However, the variations detected with ALMA are much smaller than the ones previously detected, and it is possible that these levels of small variations always occur in Sgr A*.

    The black hole itself does not produce any kind of emission. The source of the emission is the scorching gaseous disk around the black hole. The gas around the black hole does not go straight to the gravitational well, but it rotates around the black hole to form an accretion disk.

    ALMA Detects Quasi‑Periodic Millimeter Emissions from Sagittarius A* – New Insights into Milky Way’s Black Hole

    The variation of millimeter emission from Sgr A* detected with ALMA. The different color dots show the flux at different frequencies (blue: 234.0 GHz, green: 219.5 GHz, red: 217.5 GHz). Variations with about a 30-minute period are seen in the diagram. Credit: Y. Iwata et al./Keio University

    The team focused on short timescale variations and found that the variation period of 30 minutes is comparable to the orbital period of the innermost edge of the accretion disk with the radius of 0.2 astronomical units (1 astronomical unit corresponds to the distance between the Earth and the Sun: 150 million kilometers). For comparison, Mercury, the solar system's innermost planet, circles around the Sun at a distance of 0.4 astronomical units. Considering the colossal mass at the center of the black hole, its gravity effect is also extreme in the accretion disk.

    "This emission could be related with some exotic phenomena occurring at the very vicinity of the supermassive black hole," says Tomoharu Oka, a professor at Keio University.

    Their scenario is as follows. Hot spots are sporadically formed in the disk and circle around the black hole, emitting strong millimeter waves. According to Einstein's special relativity theory, the emission is largely amplified when the source is moving toward the observer with a speed comparable to that of light. The rotation speed of the inner edge of the accretion disk is quite large, so this extraordinary effect arises. The astronomers believe that this is the origin of the short-term variation of the millimeter emission from Sgr A*.

    The team supposes that the variation might affect the effort to make an image of the supermassive black hole with the Event Horizon Telescope. "In general, the faster the movement is, the more difficult it is to take a photo of the object," says Oka. "Instead, the variation of the emission itself provides compelling insight for the gas motion. We may witness the very moment of gas absorption by the black hole with a long-term monitoring campaign with ALMA." The researchers aim to draw out independent information to understand the mystifying environment around the supermassive black hole.


    Science Discoveries © www.scienceaq.com