• Home
  • Chemistry
  • Astronomy
  • Energy
  • Nature
  • Biology
  • Physics
  • Electronics
  • Fermi Telescope Reveals Youthful Power of Radio Galaxy NGC 3894
    Fermi Telescope Reveals Youthful Power of Radio Galaxy NGC 3894

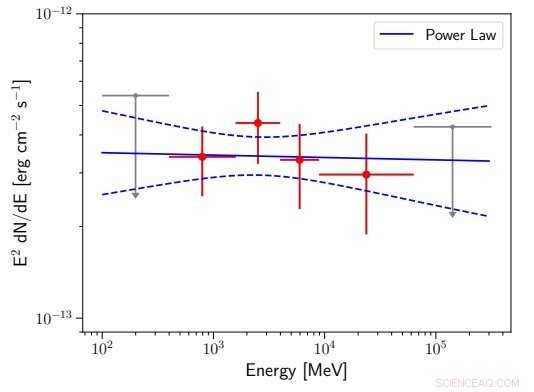
    Fermi-LAT spectrum of NGC 3894 obtained using 10.8 years of data between 100 MeV and 300 GeV. Credit: Principe et al., 2020.

    Using the Large Area Telescope (LAT) onboard NASA's Fermi spacecraft, astronomers have investigated a nearby radio galaxy known as NGC 3894. Results of the study, presented in a paper published March 3, confirm the galaxy's young age and provide more insights into its properties.

    Radio galaxies emit huge amounts of radio waves from their central cores. Black holes at the centers of these galaxies accrete gas and dust, generating high-energy jets visible in radio wavelengths, which accelerate electrically charged particles to high velocities.

    Some compact and young radio galaxies are also classified as compact symmetric objects (CSOs). In general, CSOs are small (less than 3,260 light years) radio sources with symmetric double lobes or jets. They are assumed to be the progenitors of the extended radio galaxies, and therefore could be important for studies of the evolution of radio galaxies.

    Discovered in 1790, NGC 3894 is a young radio galaxy at a redshift of approximately 0.01, classified also as a CSO. It is one of the least radio-luminous CSOs and previous observations have identified its radio core and provided evidence for twin parsec-scale jets.

    A team of astronomers led by Giacomo Principe of the Institute for Radio Astronomy of Bologna, Italy, decided to take a closer look at NGC 3894. Using LAT and also archival data from the Very Long Baseline Array (VLBA), they studied this galaxy in the gamma-ray and radio bands, in order to investigate the source's high-energy emission and assess its young nature.

    "In this paper, we investigate the γ-ray and radio properties of NGC 3894. We analyze 10.8 years of Fermi-LAT data between 100 MeV and 300 GeV as well as several epochs of VLBA radio data, extending the Taylor et al. (1998) coverage from 15 years to ∼35 years, in order to investigate the high-energy characteristics of NGC 3894 and verify its young nature," the astronomers wrote in the paper.

    The observations detected faint gamma-ray emission from NGC 3894, with gamma-ray luminosity at a level of approximately 100 duodecillion erg/s. However, no indication of variability has been observed in the gamma-ray flux of this galaxy, which is typical for young radio sources with high-energy emission produced in their lobes.

    According to the paper, the observational data suggest that the studied radio source appears two-sided with respect to a central brightest flat-spectrum component identified as a radio core. The structure of NGC 3894 was resolved into different components that are elongated over 13 light years. Moreover, the inner structure of the galaxy was found to be as small as about 16 light years and its dynamical age is around 59 years, what confirms its young nature.

    What remains a puzzle for astronomers is the origin of gamma-ray emission in NGC 3894. The authors of the paper noted that future observations will investigate that subject.

    "New VLBA radio observations, together with an extended multiwavelength analysis, including radio, optical, X-ray and γ-ray data, will be the subject of future work. In particular, further radio analysis at milliarcsec scale will be essential to continue monitoring the jet expansion and the variability of their components in order to investigate the origin of the γ-ray emission in this source," the researchers wrote.

    © 2020 Science X Network




    Science Discoveries © www.scienceaq.com