• Home
  • Chemistry
  • Astronomy
  • Energy
  • Nature
  • Biology
  • Physics
  • Electronics
  • New Study Suggests Pulsar at Center of Gamma-Ray Binary HESS J0632+057
    New Study Suggests Pulsar at Center of Gamma-Ray Binary HESS J0632+057

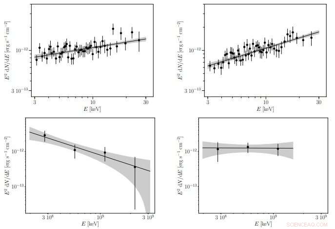
    HESS J0632+057: SED derived from NuSTAR (upper panels) and VERITAS (lower panels) observations from November (left) and December (right) 2017. The dashed lines show the result of the single power law fit and the gray band its 1σ confidence interval. Credit: Prado et al., 2019.

    Using NuSTAR spacecraft and the VERITAS array of telescopes, an international team of astronomers has investigated a gamma-ray binary known as HESS J0632+057. The study found that a compact object in this system is most likely a pulsar—a highly magnetized, rotating neutron star emitting beams of electromagnetic radiation. The finding is reported in a paper published November 21 on arXiv.

    Gamma-ray binaries consist of a massive OB-type star in orbit with a compact object. In these systems, interactions between the two components result in an emission with spectral energy distribution (SED) peaks above 1.0 MeV.

    To date, only a handful of sources have been unambiguously identified as gamma-ray binaries, which makes these systems extremely rare. While two such binaries were found to host radio pulsars, the nature of the compact objects in the other known systems of this class remains unknown.

    This is the case with HESS J0632+057, which was first spotted in 2007 as an unidentified point-like source. Follow-up observations confirmed its binary nature and found that it is uncommonly faint in the GeV band compared to other gamma-ray binaries. The system is assumed to be located between 3,600 and 5,500 light years away, and has an orbital period of approximately 315 days.

    Some studies suggest that the compact object in HESS J0632+057 is a pulsar, while others point to a black hole. A new study recently presented by a group of astronomers led by Raul Ribeiro Prado of the DESY research center in Germany favors the pulsar scenario, providing evidence supporting this hypothesis.

    "In this paper, we present simultaneous observations in X-ray by NuSTAR and TeV gamma-ray by VERITAS during November and December 2017," the astronomers wrote in the paper.

    It is assumed that when a gamma-ray binary hosts a pulsar, the spin-down power of this object is transferred to high-energy particles. This process takes place through the acceleration of electron pairs from the pulsar wind in the termination shock formed by the interaction of the pulsar and the stellar winds.

    NuSTAR and VERITAS observations show that the non-thermal radiation in HESS J0632+057 is emitted by high-energy electrons accelerated at the shock formed by the collision between the stellar and pulsar wind. This seems to confirm the pulsar scenario.

    "The results of the SED fitting show that our data can be consistently described within this scenario," the paper reads.

    The SED data is generally used to probe a model based on the pulsar wind scenario. However, the researchers noted that in the case of HESS J0632+057 it is still to early to draw final conclusions. They underlined that their model relies on a minimum number of assumptions which are sufficient only for the description of the observations presented in this paper.

    © 2019 Science X Network




    Science Discoveries © www.scienceaq.com