• Home
  • Chemistry
  • Astronomy
  • Energy
  • Nature
  • Biology
  • Physics
  • Electronics
  • Precise Mass Estimates of Two Binary Pulsars Unveil Their Evolutionary Secrets
    Precise Mass Estimates of Two Binary Pulsars Unveil Their Evolutionary Secrets

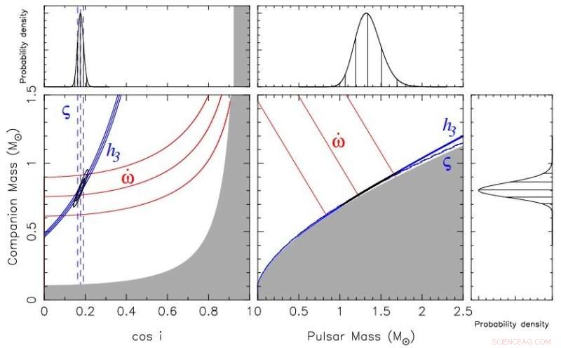
    Mass constraints for PSR J1949+3106. Image credit: Zhu et al., 2019.

    By performing timing observations, an international group of astronomers has measured the mass of two binary millisecond pulsars designated PSR J1949+3106 and PSR J1950+2414. The results could be essential in order to unveil the evolutionary status of these two objects. The research is detailed in a paper published July 11 on arXiv.org.

    Pulsars are highly magnetized rotating neutron stars that emit beams of electromagnetic radiation. The most rapidly rotating pulsars, with rotation periods below 30 milliseconds, are known as millisecond pulsars (MSPs).

    Astronomers believe that MSPs are formed in binary systems when the initially more massive component turns into a neutron star that is then spun up due to accretion of matter from the secondary star. To date, more than a half of known MSPs have been found to have stellar companions.

    Nearly 200 pulsars have been discovered by PALFA, a large-scale survey for radio pulsars at 1.4 GHz using the Arecibo 305-meter telescope and the ALFA multibeam receivers. Recently, a team of astronomers led by Weiwei Zhu of the Max Planck Institute for Radio Astronomy in Bonn, Germany, decided to take a closer look at two MSPs from this survey, namely PSR J1949+3106 and PSR J1950+2414, detected in 2012 and 2013 respectively. The main aim of the study was to measure the proper motions of these two systems more precisely and to measure masses of these objects and their companions.

    "In this paper, we present the results of timing observations of PSRs J1949+3106 and J1950+2414, two binary millisecond pulsars discovered in data from the Arecibo ALFA pulsar survey (PALFA)," the astronomers wrote in the paper.

    Initial observations of the two pulsars made by Zhu's team confirmed that with adequate timing data, it could be possible to perform accurate mass measurements. By analyzing the dataset from Arecibo Observatory and from the North American Nanohertz Observatory for Gravitational Waves (NANOGrav), the astronomers were able to conduct precise calculations of proper motions of both pulsars, what resulted in uncovering the masses of the two systems.

    According to the paper, the pulsar PSR J1949+3106 was found to have a mass of about 1.34 solar masses, while its companion has an estimated mass of approximately 0.81 solar masses. The observations revealed that PSR J1950+2414 is more massive than PSR J1949+3106, which has a mass at a level of around 1.5 solar masses. However, its companion turned out to have a relatively low mass—only about 0.28 solar masses.

    The derived masses, together with calculations of proper motions, allowed the team to draw initial conclusions regarding the evolutionary history of both objects.

    "PSR J1949+3106 is likely the product of a low-kick supernova; PSR J1950+2414 is a member of a new class of eccentric millisecond pulsar binaries with an unknown formation mechanism," the researchers concluded.

    © 2019 Science X Network




    Science Discoveries © www.scienceaq.com